切换至 "中华医学电子期刊资源库"

中华临床医师杂志(电子版) ›› 2025, Vol. 19 ›› Issue (12) : 899 -911. doi: 10.3877/cma.j.issn.1674-0785.2025.12.004

临床研究

基于大规模回顾性队列探索新型炎症标志物与骨关节炎的关联与中介机制
任慧勇, 曹帅, 张绍龙()   
  1. 100123 北京,民航总医院骨科
  • 收稿日期:2025-10-24 出版日期:2025-12-30
  • 通信作者: 张绍龙

A novel inflammatory marker and osteoarthritis: evidence from a large-scale retrospective cohort study with mediation analysis

Huiyong Ren, Shuai Cao, Shaolong Zhang()   

  1. Department of Orthopedics, Civil Aviation General Hospital, Beijing 100123, China
  • Received:2025-10-24 Published:2025-12-30
  • Corresponding author: Shaolong Zhang
引用本文:

任慧勇, 曹帅, 张绍龙. 基于大规模回顾性队列探索新型炎症标志物与骨关节炎的关联与中介机制[J/OL]. 中华临床医师杂志(电子版), 2025, 19(12): 899-911.

Huiyong Ren, Shuai Cao, Shaolong Zhang. A novel inflammatory marker and osteoarthritis: evidence from a large-scale retrospective cohort study with mediation analysis[J/OL]. Chinese Journal of Clinicians(Electronic Edition), 2025, 19(12): 899-911.

目的

C反应蛋白-淋巴细胞比值(CLR)是一种新型的炎症生物标志物。然而,CLR在骨关节炎(OA)中的作用机制仍不明确。因此,本研究旨在调查成年人中CLR与骨关节炎的关联,并探讨潜在的中介机制。

方法

本研究纳入了来自美国全国健康和营养检查调查(NHANES)2017~2020年间具有完整CLR和骨关节炎诊断信息的成年参与者。根据四分位数将CLR进行分类,其中第一四分位数(Q1)具有最低比值,第四四分位数(Q4)具有最高比值。采用加权logistic回归分析探讨CLR与骨关节炎的关联,进行亚组分析以验证这些发现的稳健性。此外,采用基于反事实框架的中介分析探讨体重指数(BMI)、高敏C反应蛋白(hs-CRP)和甘油三酯-葡萄糖指数(TyG)在CLR与骨关节炎关联中的潜在中介作用。

结果

共纳入10319名年龄≥18岁的参与者,其中1640名为骨关节炎患者,8679名为非患者对照。CLR与骨关节炎呈正相关。在未调整模型中,与Q1相比,Q2、Q3和Q4参与者的骨关节炎风险OR值分别为1.40(95% CI:1.19~1.66)、1.74(95% CI:1.48~2.05)和2.19(95% CI:1.87~2.57)(均P<0.001)。在完全调整模型中,Q4的OR值为1.33(95% CI:1.02~1.73,P=0.035)。在连续性分析中,CLR每增加一个自然对数单位,骨关节炎患病风险的完全调整比值比(OR)为1.06(95%CI:1.03~1.09,P<0.001)。相互作用检验表明,CLR对骨关节炎的影响受总胆固醇(TC)、心血管疾病(CVD)病史、糖尿病和高血压的显著影响(P<0.05)。中介分析显示,体重指数(BMI)在CLR与骨关节炎的关联中发挥了主要的中介作用,中介比例为56.24%(95% CI:34.91~85.71),其次为高敏C反应蛋白(hs-CRP,中介比例33.52%)和甘油三酯-葡萄糖指数(TyG,中介比例4.17%)。

结论

本研究揭示了CLR与骨关节炎之间呈正相关关系,且受TC、CVD病史、糖尿病和高血压的调节。中介分析结果提示,CLR对骨关节炎的影响部分通过体重指数等因子介导,其中BMI的中介作用最为显著(中介比例56.24%),提示了潜在的“炎症-肥胖-骨关节炎”生物学通路。这些发现提示CLR有可能作为骨关节炎的新型预警生物标志物,并为理解骨关节炎的多因素病因学提供了新的视角。值得注意的是,由于本研究采用横断面设计,无法确立明确的因果关系和时序性,未来需要开展前瞻性队列研究和相关机制研究来验证这些发现,并深入阐明CLR与骨关节炎之间的因果关系及具体的生物学机制。

Objective

The C-reactive protein-to-lymphocyte ratio (CLR) is a novel inflammatory biomarker. However, the role of CLR in osteoarthritis (OA) remains unclear. Therefore, this study aimed to investigate the association between CLR and OA in American adults and explore potential mediating mechanisms.

Methods

Participants with complete CLR and OA diagnosis information from the National Health and Nutrition Examination Survey (NHANES) 2017~2020 were included in this study. The CLR was classified according to quartiles, with quartile 1 (Q1) having the lowest ratio and quartile 4 (Q4) having the highest. Weighted logistic regression analysis was used to investigate the association between the CLR and OA. Subgroup analyses were performed to verify the robustness of these findings. Additionally, counterfactual framework-based mediation analysis was conducted to explore the potential mediating roles of body mass index (BMI), high-sensitivity C-reactive protein (hs-CRP), and triglyceride-glucose index (TyG) in the association between CLR and OA.

Results

In total, 10319 participants aged ≥18 years were enrolled in the study, including 1640 OA patients and 8679 non-OA controls. There was a positive correlation between the CLR and OA. In the unadjusted model, compared with that in Q1, the osteoarthritis risk (odds ratio [OR]) for participants in Q2, Q3, and Q4 was 1.40 (95% confidence interval [CI]: 1.19~1.66), 1.74 (95%CI: 1.48~2.05), and 2.19 (95%CI: 1.87~2.57), respectively (all P<0.001). In the fully adjusted model, the OR for Q4 was 1.33 (95% CI: 1.02~1.73, P=0.035). In continuous analyses, the fully adjusted OR for OA prevalence per ln-transformed increment in CLR was 1.06 (95%CI: 1.03~1.09, P<0.001). Interaction tests showed that the effect of CLR on OA was significantly affected by total cholesterol (TC), history of cardiovascular disease (CVD), diabetes mellitus, and hypertension (P<0.05). Mediation analysis revealed that BMI played a primary mediating role in the association between CLR and OA, with a mediation proportion of 56.24% (95%CI: 34.91~85.71), followed by hs-CRP (33.52%) and TyG (4.17%).

Conclusion

Using the NHANES data, this study revealed a positive correlation between the CLR and OA, with possible modifications by TC, history of CVD, diabetes mellitus, and hypertension. Mediation analysis results suggest that the effect of CLR on OA may be partially mediated by several factors, with BMI showing the most significant mediating role, indicating a potential "inflammation-obesity-osteoarthritis" biological pathway. These findings suggest that CLR may serve as a novel early-warning biomarker and provide new insights into the multifactorial etiology of OA. It is noteworthy that due to the cross-sectional design of this study, causal relationships and temporal sequences cannot be established. Future prospective cohort studies and mechanistic research are needed to validate these findings and elucidate the causal relationships and specific biological mechanisms between CLR and OA.

图1 研究对象纳入与排除标准流程图。本图展示了从2017~2020年美国全国健康和营养检查调查(National Health and Nutrition Examination Survey,NHANES)数据库中筛选研究对象的完整流程。排除标准依次为:妊娠者(with pregnancy,n=144)、年龄<19岁者(age<19 years old,n=9265),此时剩余潜在研究对象15405例(potential subjects further analyzed,n=15405);随后排除C反应蛋白-淋巴细胞比值数据缺失者(with unknown CLR,n=2158)、关节炎患病状态未知者(with unknown if they have arthritis,n=646),剩余潜在研究对象12601例(potential subjects further analyzed,n=12601);最后排除关节炎类型未知者(with unknown arthritis type,n=997)、类风湿性关节炎患者(rheumatoid arthritis,n=796)、银屑病性关节炎患者(psoriasis arthritis,n=64)以及其他类型关节炎患者(other type of arthritis,n=425),最终获得符合纳入标准的且含有骨关节炎诊断信息的个体10,319例(enrolled analysis,n=10319)用于后续统计分析,可分为骨关节炎患者组(病例组,n=1,640)和非骨关节炎对照组(n=8,679)
表1 研究参与者基线特征(2017~2020)
Q1 Q2 Q3 Q4 P
年龄(岁,
±s
42.46±16.77 47.30±17.14 49.10±17.11 48.37±16.59 <0.001
性别[例(%)] <0.001
男性 1300(50.40) 1380(53.50) 1257(48.73) 1063(41.21)
女性 1279(49.60) 1200(46.50) 1323(51.27) 1517(58.79)
种族[例(%)] 0.007
墨西哥裔美国人 205(7.96) 228(8.84) 266(10.31) 261(10.10)
非西班牙裔黑人 236(9.16) 244(9.44) 270(10.46) 304(11.77)
非西班牙裔白人 1601(62.08) 1711(66.30) 1563(60.58) 1623(62.90)
其他 537(20.81) 397(15.42) 481(18.65) 392(15.23)
教育程度[例(%)] <0.001
高中以下 64(2.48) 106(4.09) 80(3.10) 83(3.20)
高中同等学历 769(29.83) 784(30.41) 1009(39.10) 988(38.28)
高中以上 1746(67.70) 1690(65.50) 1491(57.81) 1509(58.52)
婚姻状况[例(%)] 0.013
丧偶/离异/分居/未婚 1054(40.87) 1003(38.88) 951(36.86) 874(33.87)
已婚/同居 1525(59.13) 1577(61.12) 1629(63.14) 1706(66.13)
心血管疾病[例(%)] <0.001
89(3.44) 190(7.35) 270(10.48) 289(11.20)
2490(96.57) 2390(92.65) 2310(89.52) 2291(88.80)
吸烟状况[例(%)] 0.004
从不 564(60.64) 1590(61.64) 1442(55.88) 1453(56.34)
曾经 570(22.09) 634(24.57) 649(25.14) 708(27.46)
现在 445(17.27) 356(13.79) 489(18.98) 419(16.20)
糖尿病[例(%)] <0.001
156(6.06) 271(10.52) 414(16.06) 570(22.10)
2423(93.94) 2309(89.48) 2166(83.94) 2010(77.90)
高血压[例(%)] <0.001
714(27.69) 825(31.96) 1140(44.17) 1249(48.39)
1865(72.31) 1755(68.04) 1440(55.83) 1331(51.61)
BMI [kg/m2,例(%)] <0.001
<24 1076(41.74) 582(22.55) 356(13.81) 270(10.45)
≥24 1503(58.26) 1998(77.45) 2224(86.20) 2310(89.55)
中风[例(%)] 0.001
28(1.09) 80(3.09) 102(3.97) 83(3.23)
2551(98.91) 2500(96.91) 2478(96.04) 2497(96.77)
饮酒量[例(%)] 0.001
234(9.07) 214(8.30) 194(7.51) 239(9.27)
1116(43.25) 1303(50.51) 1132(43.89) 1078(41.76)
586(22.72) 455(17.65) 585(22.69) 691(26.77)
643(24.96) 608(23.54) 669(25.92) 572(22.21)
体力活动(MET-h/周,
±s
6768.05±8411.06 6151.82±7603.26 5893.01±7268.86 4889.84±6887.92 0.001
血糖(mg/dl,
±s
103.08±21.61 107.68±26.02 112.83±36.01 113.48±36.10 <0.001
ALT(U/L,
±s
21.53±15.41 23.05±16.73 23.74±16.09 24.53±21.01 0.001
AST(U/L,
±s
22.46±13.74 21.89±11.78 22.25±12.50 23.19±17.37 0.212
BUN(mg/dl,
±s
14.27±4.60 15.12±4.99 14.98±5.19 14.67±5.76 0.001
TC(mg/dl,
±s
182.60±37.69 189.86±39.82 193.98±42.82 189.44±37.45 <0.001
HDL(mg/dl,
±s
58.20±15.28 54.07±15.71 51.97±15.33 50.59±14.23 <0.001
LDL(mg/dl,
±s
104.03±31.29 113.98±34.33 110.67±38.46 114.48±33.73 <0.001
表2 反应蛋白-淋巴细胞比值(CLR)与骨关节炎的多因素logistic回归分析。
表3 CLR与骨关节炎关联的P
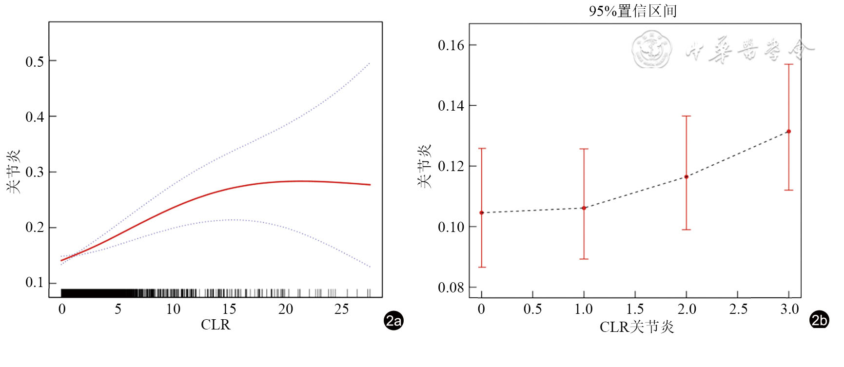
图2 CLR与骨关节炎患病风险的关联分析。CLR为C反应蛋白/淋巴细胞比值,图a为关节炎与CLR的非线性关系,为限制性立方样条分析,图b为其四分位数,为不同CLR四分位数组的调整患病率比较。实线/柱体高度为风险估计值,阴影区域/误差线为95%置信区间
图3 CLR与骨关节炎关联的亚组分析森林图。方块表示比值比(OR),横线表示95%CI,方块大小反映样本量,虚线为OR=1.0参考线。右侧数值为交互作用检验P
图4 中介分析图:CLR比值通过中介变量影响骨关节炎的路径分析。图a为BMI为中介变量;图b为hs-CRP为中介变量;图c为TyG中介变量。绿色箭头示CLR到中介变量的路径,红色箭头示中介变量到骨关节炎的路径,黑色箭头示调整中介变量后的直接效应。β为标准化回归系数,β'为调整后的直接效应,ACME为平均因果中介效应
表4 CLR比值与关节炎关联的中介模型路径分析
1
Atabaki M, Shariati-Sarabi Z, Tavakkol-Afshari J, et al. Significant immunomodulatory properties of curcumin in patients with osteoarthritis; a successful clinical trial in Iran [J]. Int Immunopharmacol, 2020, 85: 106607.
2
D'Ambrosia RD. Epidemiology of osteoarthritis [J]. Orthopedics, 2005, 28(2 Suppl): s201-205.
3
Long H, Liu Q, Yin H, et al. Prevalence trends of site-specific osteoarthritis from 1990 to 2019: findings from the global burden of disease study 2019 [J]. Arthritis Rheumatol, 2022, 74(7): 1172-1183.
4
Lories RJ, Luyten FP. The bone-cartilage unit in osteoarthritis [J]. Nat Rev Rheumatol, 2011, 7(1): 43-49.
5
Franceschi C, Campisi J. Chronic inflammation (inflammaging) and its potential contribution to age-associated diseases [J]. J Gerontol A Biol Sci Med Sci, 2014, 69 Suppl 1: S4-S9.
6
Jo E, Lee SR, Park BS, et al. Potential mechanisms underlying the role of chronic inflammation in age-related muscle wasting [J]. Aging Clin Exp Res, 2012, 24(5): 412-422.
7
Sokolove J, Lepus CM. Role of inflammation in the pathogenesis of osteoarthritis: latest findings and interpretations [J]. Ther Adv Musculoskelet Dis, 2013, 5(2): 77-94.
8
Katz JD, Agrawal S, Velasquez M. Getting to the heart of the matter: osteoarthritis takes its place as part of the metabolic syndrome [J]. Curr Opin Rheumatol, 2010, 22(5): 512-519.
9
Bondeson J, Blom AB, Wainwright S, et al. The role of synovial macrophages and macrophage-produced mediators in driving inflammatory and destructive responses in osteoarthritis [J]. Arthritis Rheum, 2010, 62(3): 647-657.
10
Franke S, Sommer M, Rüster C, et al. Advanced glycation end products induce cell cycle arrest and proinflammatory changes in osteoarthritic fibroblast-like synovial cells [J]. Arthritis Res Ther, 2009, 11(5): R136.
11
Taşoğlu Ö, Bölük H, Şahin Onat Ş, et al. Is blood neutrophil-lymphocyte ratio an independent predictor of knee osteoarthritis severity? [J]. Clin Rheumatol, 2016, 35(6): 1579-1583.
12
Ishijima M, Kaneko H, Kaneko K. The evolving role of biomarkers for osteoarthritis [J]. Ther Adv Musculoskelet Dis, 2014, 6(4): 144-153.
13
Mobasheri A. Osteoarthritis year 2012 in review: biomarkers [J]. Osteoarthritis Cartilage, 2012, 20(12): 1451-1464.
14
Veronese N, Shivappa N, Stubbs B, et al. The relationship between the dietary inflammatory index and prevalence of radiographic symptomatic osteoarthritis: data from the osteoarthritis initiative [J]. Eur J Nutr, 2019, 58(1): 253-260.
15
Siebuhr AS, Petersen KK, Arendt-Nielsen L, et al. Identification and characterisation of osteoarthritis patients with inflammation derived tissue turnover [J]. Osteoarthritis Cartilage, 2014, 22(1): 44-50.
16
Skinner AC, Ravanbakht SN, Skelton JA, et al. Prevalence of obesity and severe obesity in US children, 1999-2016 [J]. Pediatrics, 2018, 141(3): e20173459.
17
March LM, Schwarz JM, Carfrae BH, et al. Clinical validation of self-reported osteoarthritis [J]. Osteoarthritis Cartilage, 1998, 6(2): 87-93.
18
Smilowitz NR, Kunichoff D, Garshick M, et al. C-reactive protein and clinical outcomes in patients with COVID-19 [J]. Eur Heart J, 2021, 42(23): 2270-2279.
19
Vasileva D, Badawi A. C-reactive protein as a biomarker of severe H1N1 influenza [J]. Inflamm Res, 2019, 68(1): 39-46.
20
Twu YC, Gold MR, Teh HS. TNFR1 delivers pro-survival signals that are required for limiting TNFR2-dependent activation-induced cell death (AICD) in CD8+ T cells [J]. Eur J Immunol, 2011, 41(2): 335-344.
21
Lagunas-Rangel FA. Neutrophil-to-lymphocyte ratio and lymphocyte-to-C-reactive protein ratio in patients with severe coronavirus disease 2019 (COVID-19): a meta-analysis [J]. J Med Virol, 2020, 92(10): 1733-1734.
22
Qian F, Zhou W, Liu Y, et al. High C-reactive protein to lymphocyte ratio predicts mortality outcomes of patients with severe fever with thrombocytopenia syndrome: a multicenter study in China [J]. J Med Virol, 2023, 95(2): e28546.
23
He L, Xie H, Du Y, et al. The relationship between C-reactive protein to lymphocyte ratio and the prevalence of myocardial infarction in US adults: a cross-sectional study [J]. Heliyon, 2023, 9(7): e17776.
24
Fan Z, Luo G, Gong Y, et al. Prognostic value of the C-reactive protein/lymphocyte ratio in pancreatic cancer [J]. Ann Surg Oncol, 2020, 27(10): 4017-4025.
25
Lu LH, Zhong C, Wei W, et al. Lymphocyte-C-reactive protein ratio as a novel prognostic index in intrahepatic cholangiocarcinoma: a multicentre cohort study [J]. Liver Int, 2021, 41(2): 378-387.
26
Hwang JJ, Hur JY, Eo W, et al. Clinical significance of C-reactive protein to lymphocyte count ratio as a prognostic factor for survival in non-small cell lung cancer patients undergoing curative surgical resection [J]. J Cancer, 2021, 12(15): 4497-4504.
27
Koyuncu S, Ismail O. The role of C-reactive protein to lymphocyte ratio in the differentiation of acute and perforated appendicitis [J]. Ulus Travma Acil Cerrahi Derg, 2020, 26(5): 760-764.
28
Hotamisligil GS. Inflammation and metabolic disorders [J]. Nature, 2006, 444(7121): 860-867.
29
Visser M, Pahor M, Taaffe DR, et al. Relationship of interleukin-6 and tumor necrosis factor-alpha with muscle mass and muscle strength in elderly men and women: the health ABC study [J]. J Gerontol A Biol Sci Med Sci, 2002, 57(5): M326-332.
30
Björntorp P. Do stress reactions cause abdominal obesity and comorbidities? [J]. Obes Rev, 2001, 2(2): 73-86.
31
Dahaghin S, Bierma-Zeinstra SM, Koes BW, Hazes JM, Pols HA. Do metabolic factors add to the effect of overweight on hand osteoarthritis? The Rotterdam Study [J]. Ann Rheum Dis, 2007, 66(7): 916-920.
32
Abramson SB. Osteoarthritis and nitric oxide [J]. Osteoarthritis Cartilage, 2008, 16 Suppl 2: S15-20.
33
Hermann M. Cyclooxygenase-2 and nitric oxide [J]. J Cardiovasc Pharmacol, 2006, 47 Suppl 1: S21-S25.
34
Pottie P, Presle N, Terlain B, et al. Obesity and osteoarthritis: more complex than predicted! [J]. Ann Rheum Dis, 2006, 65(11): 1403-1405.
35
Bruserud Ø, Vo AK, Rekvam H. Hematopoiesis, inflammation and aging-the biological background and clinical impact of anemia and increased C-reactive protein levels on elderly individuals [J]. J Clin Med, 2022, 11(3): 706.
36
Bruserud Ø, Aarstad HH, Tvedt THA. Combined C-reactive protein and novel inflammatory parameters as a predictor in cancer-What can we learn from the hematological experience? [J]. Cancers (Basel), 2020, 12(7): 1966.
[1] 栗家兴, 程紫轩, 吕欣悦, 王江芬, 张晶晶, 张亚芬. 肿瘤浸润淋巴细胞在乳腺癌免疫治疗中的作用及其预后预测价值[J/OL]. 中华乳腺病杂志(电子版), 2026, 20(01): 49-54.
[2] 王晶, 李楷凡, 何秀明, 陈亚影, 郑晓宇, 王业杨. 关节镜下微骨折联合富血小板血浆治疗膝骨关节炎[J/OL]. 中华关节外科杂志(电子版), 2026, 20(01): 122-126.
[3] 中华医学会骨科学分会关节外科学组, 王坤正, 史占军, 曲铁兵. 中国膝骨关节炎关节腔注射治疗专家共识(2026版)[J/OL]. 中华关节外科杂志(电子版), 2026, 20(01): 1-14.
[4] 李亚鹏, 岳辰, 李峰, 张志杰, 成彦, 郭珈宜. 膝骨关节炎膝周肌肉硬度与功能的相关性评估[J/OL]. 中华关节外科杂志(电子版), 2026, 20(01): 32-40.
[5] 刘肖雅, 郭珈宜, 成彦, 李峰, 杨艳霞, 高起, 杨玉霞, 岳辰. 虚拟现实运动在膝骨关节炎患者中应用效果的Meta分析[J/OL]. 中华关节外科杂志(电子版), 2026, 20(01): 50-59.
[6] 成锋, 张扬, 童培建. 间充质干细胞外泌体在骨关节炎的应用与前景[J/OL]. 中华关节外科杂志(电子版), 2026, 20(01): 60-68.
[7] 马天佑, 吴默, 赵雪飞, 吕帅洁, 童培建. 中性粒细胞在骨关节炎发病机制中的作用与机制[J/OL]. 中华关节外科杂志(电子版), 2026, 20(01): 69-76.
[8] 谢海波, 王志文, 李恒. 早期膝骨关节炎影像学检查与深度学习融合应用[J/OL]. 中华关节外科杂志(电子版), 2026, 20(01): 97-103.
[9] 夏堃, 佘蔡楠, 杨昊天, 陶然, 陆跃, 马洪冬. 膝外翻全膝关节置换术后下肢力线与疗效的相关性[J/OL]. 中华关节外科杂志(电子版), 2025, 19(06): 677-683.
[10] 杨浩, 杨佩, 刘豪, 曾小超, 许文杰, 张旭, 熊执政. 生物型与骨水泥型单髁假体治疗内侧间室膝关节炎的比较[J/OL]. 中华关节外科杂志(电子版), 2025, 19(06): 697-707.
[11] 程琼, 周海, 贾中芝, 王凯, 王刚刚. 动脉栓塞治疗膝骨关节炎的研究进展[J/OL]. 中华关节外科杂志(电子版), 2025, 19(06): 749-754.
[12] 韦丽娅, 肖扬. 肿瘤浸润淋巴细胞治疗实体瘤及血液肿瘤的研究进展[J/OL]. 中华细胞与干细胞杂志(电子版), 2025, 15(06): 361-367.
[13] 李承思, 邢欣, 王忠正, 王宇钏, 程晓东, 李栋正, 陈伟, 张英泽, 张奇. 术前高敏C反应蛋白与淋巴细胞比值预测退变性腰椎手术后手术部位感染的价值[J/OL]. 中华老年骨科与康复电子杂志, 2026, 12(01): 3-14.
[14] 孙轲, 倪光夏. 倪光夏教授运用长针内、外膝眼多向透刺法治疗膝骨关节炎经验[J/OL]. 中华针灸电子杂志, 2026, 15(01): 53-56.
[15] 卓玛, 陈玉秀, 连雨晴, 周立新, 郝渝, 季士勇, 胡亚雄, 丁志杰, 赵伟伟, 次旦卓嘎, 袁晶, 赵玉华. 久居高原地区高血压脑出血患者脑出血量与血清C反应蛋白水平的相关性[J/OL]. 中华脑血管病杂志(电子版), 2026, 20(01): 57-60.
阅读次数
全文


摘要


AI


AI小编
你好!我是《中华医学电子期刊资源库》AI小编,有什么可以帮您的吗?