切换至 "中华医学电子期刊资源库"

中华临床医师杂志(电子版) ›› 2025, Vol. 19 ›› Issue (11) : 823 -830. doi: 10.3877/cma.j.issn.1674-0785.2025.11.005

临床研究

不同性别青春早期小学生焦虑抑郁情绪的网络分析
李孝武1, 刘佳雪2, 岳增赫1, 钱雨欣1, 王安琪1, 柯晓燕1, 焦公凯1,()   
  1. 1 210000 南京,南京医科大学附属脑科医院儿童心理卫生研究中心
    2 221000 江苏徐州,徐州医科大学附属徐州东方医院
  • 收稿日期:2025-10-15 出版日期:2025-11-30
  • 通信作者: 焦公凯
  • 基金资助:
    国家自然科学基金项目(科技创新2030+2022ZD0209102)

Network analysis of anxiety and depression in early adolescent elementary school students by gender

Xiaowu Li1, Jiaxue Liu2, Zenghe Yue1, Yuxin Qian1, Anqi Wang1, Xiaoyan Ke1, Gongkai Jiao1,()   

  1. 1 Child Mental Health Research Center, the Affiliated Brain Hospital of Nanjing Medical University, Nanjing 210000, China
    2 Department of Psychiatry, The Affiliated Xuzhou Oriental Hospital of Xuzhou Medical University, Xuzhou 221000, China
  • Received:2025-10-15 Published:2025-11-30
  • Corresponding author: Gongkai Jiao
引用本文:

李孝武, 刘佳雪, 岳增赫, 钱雨欣, 王安琪, 柯晓燕, 焦公凯. 不同性别青春早期小学生焦虑抑郁情绪的网络分析[J/OL]. 中华临床医师杂志(电子版), 2025, 19(11): 823-830.

Xiaowu Li, Jiaxue Liu, Zenghe Yue, Yuxin Qian, Anqi Wang, Xiaoyan Ke, Gongkai Jiao. Network analysis of anxiety and depression in early adolescent elementary school students by gender[J/OL]. Chinese Journal of Clinicians(Electronic Edition), 2025, 19(11): 823-830.

目的

本研究旨在探索不同性别青春早期小学生焦虑抑郁情绪的网络结构及其性别差异。

方法

于2025年4月采用整群抽样,选取南京市和淮安市两所小学4~6年级学生1182名。使用DSRSC、SCARED、SAS-SV和ERQ评估抑郁、焦虑、智能手机成瘾及情绪调节策略。采用t检验分析性别差异,通过正则化部分相关网络,分析核心与桥接节点,并采用Bootstrap和网络比较检验评估稳定性和性别差异。

结果

女性焦虑与抑郁得分均高于男性(P<0.001)。网络分析显示,广泛性焦虑中心性最高(强度=1.870,95%CI:1.214~2.681),智能手机成瘾桥接预期影响最大(桥接预期影响=0.638,95%CI:0.538~0.736)。性别差异分析表明,女性抑郁—社交焦虑连接更强(P=0.003),男性在广泛性焦虑-分离焦虑(P=0.047)、认知重评—表达抑制的联结更强(P=0.042)。桥接预期影响力方面,男性以智能手机成瘾最高(桥接预期影响=0.669,95%CI:0.531~0.777),女性以抑郁最高(桥接预期影响=0.723,95%CI:0.594~0.866)。

结论

本研究表明,在青春早期干预应重视广泛性焦虑的核心作用与智能手机成瘾的桥梁作用,并开展性别特异性的心理健康预防:男性侧重外化行为问题,女性关注抑郁等内化情绪问题。

Objective

To explore the network structures of anxiety and depressive emotions among early adolescent elementary school students and to examine gender differences in these structures.

Methods

In April 2025, a cluster sampling method was employed to select 1182 students in grades 4~6 from two elementary schools in Nanjing and Huai'an. Depression, anxiety, smartphone addiction, and emotion regulation strategies were assessed using the DSRSC, SCARED, SAS-SV, and ERQ scales. Gender differences were analyzed via t-tests. Core and bridging nodes were identified through regularized partial correlation networks, with stability and gender differences evaluated using Bootstrap sampling and network comparison tests.

Results

Girls scored significantly higher than boys on both anxiety and depression measures (P<0.001). Network analysis revealed that generalized anxiety had the highest centrality (strength=1.870, 95%CI: 1.214~2.681), while smartphone addiction exhibited the strongest bridging effect (bridge expected influence=0.638, 95%CI: 0.538~0.736). Gender difference analysis indicated stronger depression-social anxiety connections in girls (P=0.003), while boys exhibited stronger links between generalized anxiety and separation anxiety (P=0.047) and between cognitive reappraisal and expressive inhibition (P=0.042). Regarding bridge expected influence, boys exhibited the highest effect for smartphone addiction (bridge expected influence=0.669, 95%CI: 0.531~0.777), while girls showed the highest effect for depression (bridge expected influence=0.723, 95%CI: 0.594~0.866).

Conclusion

This study highlights the critical need for early adolescent interventions to address the central role of generalized anxiety and its bridging link to smartphone addiction. Concurrently, prevention strategies should be gender-tailored: focusing on externalizing behavioral issues in boys and internalizing emotional problems such as depression in girls.

表1 研究对象基本情况
表2 不同性别青春早期小学生焦虑、抑郁、手机成瘾及情绪调节策略比较(
±s
图1 不同性别青春早期小学生焦虑抑郁情绪的网络结构图
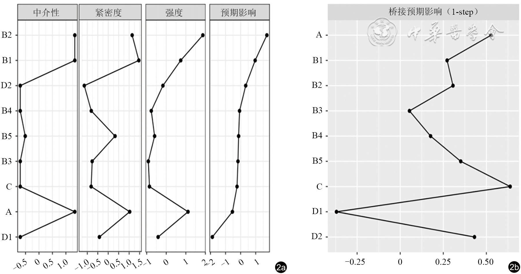
图2 网络节点的中心性指标及桥接预期影响。图a为网络节点的中心性指标;图b为网络节点的桥接预期影响
图3 网络结构的稳定性检验及准确性检验。图a为网络中心性指标的稳定性检验;图b为网络中心性指标的准确性检验
图4 不同性别组的症状网络图。图a为男性亚组青春早期小学生焦虑抑郁情绪的网络结构;图b为女性亚组青春早期小学生焦虑抑郁情绪的网络结构
图5 男性和女性亚组网络节点的中心性指标
图6 不同性别的网络结构的桥接预期影响。图a为男性亚组网络节点的桥接预期影响;图b为女性亚组网络节点的桥接预期影响
1
尹菲菲, 钟琳, 张静, 等. 小学生家庭功能与情绪调节策略的关联研究 [J]. 现代预防医学, 2024, 51: 2558-2561+2586.
2
Min JS. Longitudinal relationship between addictive use of mobile phones and learning activities for elementary school students: multiple and complex group analysis across gender [J]. J Digit Converg, 2015, 13: 267-279.
3
Kong Y, Su Z, Wang R, et al. The effects of parent-child relationship, study stress, and mobile phone use on depressive symptoms among Chinese elementary school students: a moderated mediation model [J]. Front Psychiatry, 2025, 16: 1555120.
4
Fu JN, Yu WB, Li SQ, et al. A bibliometric analysis of anxiety and depression among primary school students [J]. Front Psychiatry, 2024, 15: 1431215.
5
Ered A, Lipner E, O'Brien KJ, et al. An intersectional examination of the relationship between racial/ethnic discrimination and psychotic-like experiences: the role of other psychiatric symptoms [J]. Eur Psychiatry, 2025, 68(1): e6.
6
Kim SG, Park J, Kim HT, et al. The relationship between smartphone addiction and symptoms of depression, anxiety, and attention-deficit/hyperactivity in South Korean adolescents [J]. Ann Gen Psychiatry, 2019, 18: 1.
7
王子文, 张丽峰, 王海琪, 等. 初中生认知情绪调节策略与心理健康的关系: 基于潜在剖面分析 [J]. 心理月刊, 2025, 20: 104-107.
8
Kardefelt-Winther D. A conceptual and methodological critique of internet addiction research: Towards a model of compensatory internet use [J]. Comput Human Behav, 2014, 31: 351-354.
9
张麦玲, 刘学萌. 小学生网络成瘾现象的调查研究 [J]. 宿州教育学院学报, 2014, 17: 118-119.
10
韦雨欢, 王诗健, 李丛冉, 等. 青春期女性情绪调节与抑郁症状的关系: 有调节的中介模型 [J]. 精神医学杂志, 2024, 37: 365-371.
11
Borsboom D, Cramer AO. Network Analysis: an integrative approach to the structure of psychopathology [J]. Annu Rev Clin Psychol, 2013, 9: 91-121.
12
Zhou M, Dong X, Wu W, et al. A network structure of mental health and problematic mobile phone use among middle school students [J]. Psychol Res Behav Manag, 2024, 17: 3533-3542.
13
汤思尧, 黎家鸿, 刘立力, 等. 大学生焦虑抑郁失眠症状的网络分析 [J]. 国际精神病学杂志, 2025, 52: 445-450.
14
王田丽, 魏鸿园, 卢晓艳, 等. 高职大学生网络成瘾社交焦虑社会支持与抑郁的关系 [J]. 中国学校卫生, 2020, 41: 1610-1613.
15
Zhang Z, Qiu A, Zhang X, et al. Gender differences in the mental symptom network of high school students in Shanghai, China: a network analysis [J]. BMC Public Health, 2024, 24(1): 2719.
16
项明强, 王梓蓉, 马奔. 智能手机依赖量表中文版在青少年中的信效度检验 [J]. 中国临床心理学杂志, 2019, 27: 959-964.
17
王凯, 苏林雁, 朱焱, 等. 儿童焦虑性情绪障碍筛查表的中国城市常模 [J]. 中国临床心理学杂志, 2002, 10(4): 270-272.
18
苏林雁, 王凯, 朱焱, 等; 儿童抑郁量表全国协作组. 儿童抑郁障碍自评量表的中国城市常模 [J]. 中国心理卫生杂志, 2003, 17(8): 547-549.
19
王力, 柳恒超, 李中权, 等. 情绪调节问卷中文版的信效度研究 [J]. 中国健康心理学杂志, 2007, 15(6): 503-505.
20
Epskamp S, Cramer AOJ, Waldorp LJ, et al. Network visualizations of relationships in psychometric data [J]. J Stat Softw, 2012, 48(4: 1-18.
21
Opsahl T, Agneessens F, Skvoretz J. Node centrality in weighted networks: Generalizing degree and shortest paths [J]. Soc Networks, 2010, 32: 245-251.
22
Jones PJ, Ma R, McNally RJ. Bridge centrality: A network approach to understanding comorbidity [J]. Multivariate Behav Res, 2021, 56: 353-367.
23
Epskamp S, Borsboom D, Fried EI. Estimating psychological networks and their accuracy: A tutorial paper [J]. Behav Res Methods, 2018, 50(1): 195-212.
24
Horváth Z, Paksi B, Fernández-Aranda F, et al. The predictive role of tolerance and health Problems in problem gambling: A cross-sectional and cross-lagged network analyses [J]. J Gambl Stud, 2023, 39(4): 1781-1798.
25
van Borkulo C, Boschloo L, Borsboom D, et al. Association of symptom network structure with the course of longitudinal depression (vol 72, pg 1219, 2015) [J]. JAMA Psychiatry, 2016, 73: 412-412.
26
张琴, 鲍喜燕, 顾涛, 等. 盐城市小学生焦虑抑郁现状调查分析 [J]. 心理月刊, 2024, 19: 196-198+202.
27
雷荣, 阙建宇, 孙琳琳, 等. 雌激素对抑郁障碍影响的研究进展 [J]. 四川精神卫生, 2019, 32: 473-476.
28
Druet-Cabanac A, Azzi J, Lucchino M, et al. Generalized anxiety disorder: epidemiology, burden, and comorbid depression [J]. Curr Med Res Opin, 2025, 41(6): 1053-1064.
29
Chavira DA, Stein MB, Bailey K, et al. Comorbidity of generalized social anxiety disorder and depression in a pediatric primary care sample [J]. J Affect Disord, 2004, 80: 163-171.
30
Turki M, Thabet JB, Charfi N, et al. Generalized anxiety disorder comorbidities: Panic and depressive disorder [J]. Eur Psychiatry, 2017, 41: S486-S486.
31
Hirsch CR, Mathews A. A cognitive model of pathological worry [J]. Behav Res Ther, 2012, 50: 636-646.
32
Newman MG, Llera SJ, Erickson TM, et al. Worry and generalized anxiety disorder: a review and theoretical synthesis of evidence on nature, etiology, mechanisms, and treatment [J]. Annu Rev Clin Psychol, 2013, 9: 275-297.
33
Ge J, Liu Y, Cao W, et al. The relationship between anxiety and depression with smartphone addiction among college students: The mediating effect of executive dysfunction [J]. Front Psychol, 2022, 13: 1033304.
34
Wan CS, Chiou WB. Psychological motives and online games addiction: a test of flow theory and humanistic needs theory for Taiwanese adolescents [J]. Cyberpsychol Behav, 2006, 9(3): 317-324.
35
Lu X, Zhang L, Tao Y. The role of self-control in the bidirectional relation between problematic smartphone use and generalized anxiety symptoms among depressed secondary school students: Insight from longitudinal moderation network analysis [J]. J Affect Disord, 2025, 391: 119981.
36
Lenroot RK, Giedd JN. Sex differences in the adolescent brain [J]. Brain Cogn, 2010, 72(1): 46-55.
37
Somerville LH, Jones RM, Casey BJ. A time of change: behavioral and neural correlates of adolescent sensitivity to appetitive and aversive environmental cues [J]. Brain Cogn, 2010, 72(1): 124-133.
38
Zahn-Waxler C, Shirtcliff EA, Marceau K. Disorders of childhood and adolescence: gender and psychopathology [J]. Annu Rev Clin Psychol, 2008, 4: 275-303.
39
Chaplin TM, Aldao A. Gender differences in emotion expression in children: a meta-analytic review [J]. Psychol Bull, 2013, 139: 735-765.
40
Cross CP, Cyrenne DL, Brown GR. Sex differences in sensation-seeking: a meta-analysis [J]. Sci Rep, 2013, 3: 2486.
41
易晓明, 曹宇. 初中生智能手机成瘾与人格关系 [J]. 内江师范学院学报, 2017, 32: 7-11+53.
42
Santarossa A, Nabbijohn AN, van der Miesen AIR, et al. Separation anxiety and gender variance in a community sample of children [J]. Eur Child Adolesc Psychiatry, 2019, 28: 1629-1643.
43
Wijsbroek SA, Hale WW 3rd, Raaijmakers QA, et al. The direction of effects between perceived parental behavioral control and psychological control and adolescents' self-reported GAD and SAD symptoms [J]. Eur Child Adolesc Psychiatry, 2011, 20(7): 361-371.
44
Aldao A, Nolen-Hoeksema S, Schweizer S. Emotion-regulation strategies across psychopathology: A meta-analytic review [J]. Clin Psychol Rev, 2010, 30(2): 217-237.
45
Tyra AT, Griffin SM, Fergus TA, et al. Individual differences in emotion regulation prospectively predict early COVID-19 related acute stress [J]. J Anxiety Disord, 2021, 81: 102411.
[1] 张娅茹, 逄川, 庞宇, 范方莹, 梁萍, 于杰. 消融对T1N0M0 甲状腺乳头状癌患者抑郁状态及生活质量的影响[J/OL]. 中华医学超声杂志(电子版), 2025, 22(04): 328-336.
[2] 李嘉怡, 武楠. 基于基因表达数据库筛选牙周炎与非酒精性脂肪性肝炎的潜在共同关键基因[J/OL]. 中华口腔医学研究杂志(电子版), 2025, 19(03): 170-180.
[3] 李玲, 刘亚, 李培玲, 张秀敏, 李萍. 直肠癌患者术后肠道菌群的变化与抑郁症相关性研究[J/OL]. 中华普外科手术学杂志(电子版), 2024, 18(06): 607-610.
[4] 张剑飞, 沈鹤, 邱建宏, 赵新鸿. 男性和女性腺性膀胱炎临床特征及复发率的比较[J/OL]. 中华腔镜泌尿外科杂志(电子版), 2025, 19(05): 628-632.
[5] 沈柳柳, 周不畏, 王敏, 卢春霞, 邢燕飞. 个体化肺康复及情绪调节对AECOPD并VTE 高危患者生活质量和预后影响分析[J/OL]. 中华肺部疾病杂志(电子版), 2024, 17(06): 971-974.
[6] 唐洪, 刘俊利, 金正. 肩关节镜下肩袖撕裂修复围手术期焦虑及睡眠管理:一项前瞻性随机对照试验[J/OL]. 中华肩肘外科电子杂志, 2025, 13(03): 163-169.
[7] 孔少伟, 夏宇, 于小彬, 岳宏发, 孔琪, 周荣军. 维持性血液透析患者的希望水平和家庭功能对其焦虑与睡眠质量的多重中介作用[J/OL]. 中华肾病研究电子杂志, 2025, 14(05): 270-275.
[8] 刘佳成, 许晓辉, 杜艳姣, 张云亭, 段智慧. 载脂蛋白E基因多态性对急性缺血性脑卒中后抑郁的影响[J/OL]. 中华脑科疾病与康复杂志(电子版), 2025, 15(04): 220-226.
[9] 荣毅, 田锦秀, 庞琦良, 成爱霞. 高频重复经颅磁刺激对脑卒中后中枢性疼痛的疗效观察[J/OL]. 中华脑科疾病与康复杂志(电子版), 2025, 15(04): 227-231.
[10] 高鉴兴, 马晶晶, 夏洁, 柯晓燕, 方慧. 儿童青少年首次抑郁发作的临床特征及非自杀性自伤的影响因素[J/OL]. 中华临床医师杂志(电子版), 2025, 19(09): 633-641.
[11] 谭靓靓, 王坤华, 杨莉, 于露, 丁秋, 汪天宇, 张文瑄. 基于跨理论模型的随访管理对抑郁症患者服药依从性的研究[J/OL]. 中华临床医师杂志(电子版), 2025, 19(07): 497-503.
[12] 温欢, 苏博, 刘金波, 王宏宇. 北京市社区中老年人群非高密度脂蛋白胆固醇与高密度脂蛋白胆固醇比值与抑郁风险的关联性[J/OL]. 中华临床医师杂志(电子版), 2025, 19(06): 414-419.
[13] 白杰, 王唯一, 陈超, 王帆, 肖新如. 神经外科住培医师职业倦怠及影响因素研究[J/OL]. 中华临床医师杂志(电子版), 2024, 18(07): 662-670.
[14] 严丹丹, 马蓓蓓, 包建英, 卢光东, 刘圣, 施海彬. 未破裂颅内动脉瘤介入治疗患者术前焦虑与信息需求状况及影响因素分析[J/OL]. 中华介入放射学电子杂志, 2025, 13(04): 355-360.
[15] 张丽华, 张炜, 薛海丽, 朱向阳. 脑心健康管理师主导的认知行为疗法对脑卒中后焦虑、抑郁的影响[J/OL]. 中华脑血管病杂志(电子版), 2025, 19(01): 19-24.
阅读次数
全文


摘要


AI


AI小编
你好!我是《中华医学电子期刊资源库》AI小编,有什么可以帮您的吗?