切换至 "中华医学电子期刊资源库"

中华临床医师杂志(电子版) ›› 2025, Vol. 19 ›› Issue (10) : 747 -757. doi: 10.3877/cma.j.issn.1674-0785.2025.10.004

临床研究

乳腺X线模型构建列线图预测乳腺癌HR及HER2的表达
赵莉1, 张敏伟2, 郭浩东1, 于海侠1, 王光明1, 李德春1,()   
  1. 1 221009 江苏徐州,徐州市中心医院放射科
    2 315020 浙江宁波,宁波大学附属第一医院超声科
  • 收稿日期:2025-10-08 出版日期:2025-10-30
  • 通信作者: 李德春

Construction of mammography-based nomogram models for predicting HR and HER2 expression in breast cancer

Li Zhao1, Minwei Zhang2, Haodong Guo1, Haixia Yu1, Guangming Wang1, Dechun Li1,()   

  1. 1 Department of Radiology, Xuzhou Central Hospital, Xuzhou 221009, China
    2 Department of Ultrasound, The First Affiliated Hospital of Ningbo University, Ningbo 315020, China
  • Received:2025-10-08 Published:2025-10-30
  • Corresponding author: Dechun Li
引用本文:

赵莉, 张敏伟, 郭浩东, 于海侠, 王光明, 李德春. 乳腺X线模型构建列线图预测乳腺癌HR及HER2的表达[J/OL]. 中华临床医师杂志(电子版), 2025, 19(10): 747-757.

Li Zhao, Minwei Zhang, Haodong Guo, Haixia Yu, Guangming Wang, Dechun Li. Construction of mammography-based nomogram models for predicting HR and HER2 expression in breast cancer[J/OL]. Chinese Journal of Clinicians(Electronic Edition), 2025, 19(10): 747-757.

目的

分析乳腺X线影像学特征构建列线图预测肿块或/和钙化型乳腺癌HR及HER2表达的价值。

方法

回顾性分析徐州市中心医院2021年1月~2024年4月确诊乳腺癌并有完整手术病理及免疫组化结果的女性患者586例的临床及影像学资料,并按8∶2随机分成训练组和验证组,其中481例患者为训练组,105例患者为验证组。使用多因素Logistic回归对X线影像特征进行统计学分析,构建HR及HER2列线图预测模型。并分别对2组模型进行验证及临床价值判断。

结果

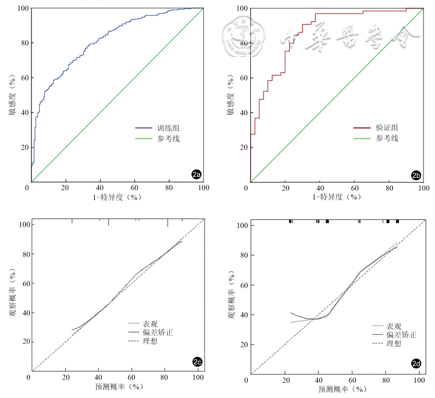
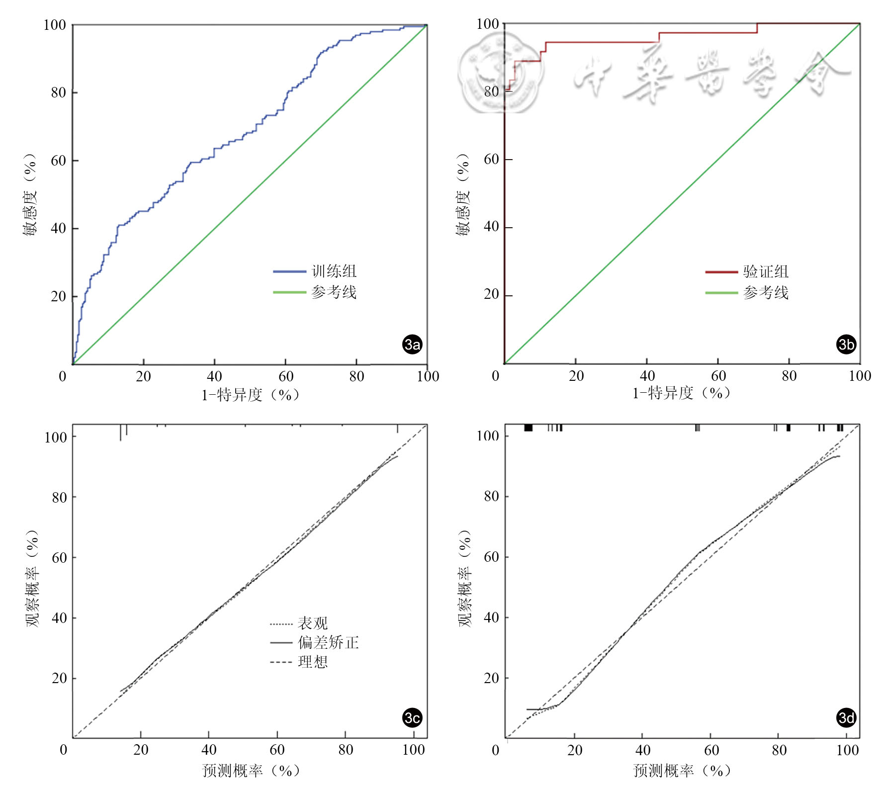
肿块边缘、肿块大小及无细线或细线分支状钙化是预测HR状态的独立影响因素;有细线或细线分支状钙化、钙化灶分布及钙化灶范围是预测HER2状态的独立影响因素。基于以上指标分别构建HR和HER2列线图模型,HR列线图模型训练组的AUC为0.765(95%CI:0.724~0.807),验证组AUC为0.783(95%CI:0.695~0.870);HER2列线图模型训练组AUC为0.838(95%CI:0.796~0.877),验证组为0.908(95%CI:0.832~0.984)。Hosmer-Lemeshow检验显示HR列线图模型(P=0.771)和HER2列线图模型(P=0.918)拟合优度较好,2组模型的校准曲线显示2组预测概率和实际概率一致性较好。临床决策曲线显示2组列线图模型有临床应用价值。

结论

基于肿块或/和钙化型乳腺癌X线影像学特征构建的预测HR和HER2表达的列线图模型具有较好的预测效能和校准能力,可为临床诊断、病理诊断及指导后期治疗提供一定的参考价值。

Objective

To develop nomogram models based on mammographic features for predicting the expression of HR and HER2 in mass or/and calcified breast cancer.

Methods

The clinical and imaging data of 586 female patients diagnosed with breast cancer from January 2021 to April 2024 in Xuzhou Central Hospital with complete surgical pathology and immunohistochemical results were retrospectively included and randomly divided into a training group (n=481) and a validation group (n=105) in a ratio of 8:2. X-ray imaging features were analyzed using multivariate logistic regression and used to develop nomogram models for predicting HR and HER2 expression. The clinical value of the two models was then assessed.

Results

Tumor margin, tumor size, and absence of fine-linear or branching calcification were independent predictors of HR status. In contrast, HER2 status was independently associated with the presence of fine-linear or branching calcifications, as well as the distribution and range of calcification foci. HR and HER2 nomogram models were then constructed based on the above indexes. The AUC of the HR nomogram model was 0.765 (95% confidence interval [CI]: 0.724~0.807) in the training group and 0.783 (95%CI: 0.695~0.870) in the validation group. The AUC of the HER2 nomogram model was 0.838 (95%CI: 0.796~0.877) in the training group and 0.908 (95%CI:0.832~0.984) in the validation group. The calibration curves of the two models showed that the predicted probabilities were consistent with the actual probabilities in both groups. The Hosmer-Lemeshow test showed excellent goodness of fit for both the HR nomogram model (P=0.771) and the HER2 nomogram model (P=0.918). The clinical decision curve showed that the two nomogram models had clinical utility.

Conclusion

The nomogram models, based on mammographic features of masses and/or calcifications in breast cancer, demonstrate moderate diagnostic efficacy and calibration for predicting HR and HER2 status. They may offer valuable guidance for clinical and pathological diagnosis, as well as subsequent treatment planning.

表1 训练组与验证组临床及影像特征分析
表2 训练组HR和HER2表达与临床及影像特征相关性分析
临床及影像特征 HR t/χ2/Z值 P HER2 t/χ2/Z值 P
阳性(n=286) 阴性(n=195) 阳性(n=178) 阴性(n=303)
年龄(岁,
±s
55.19±11.51 54.90±10.33 -0.287 0.774 53.93±9.82 55.74±11.66 1.740 0.083
绝经状态[例(%)] 0.408 0.523 5477 0.019
已绝经 139(48.6) 89(45.6) 72(40.4) 156(51.5)
未绝经 147(51.4) 106(54.4) 106(59.6) 147(48.5)
腺体类型[例(%)] 1.410 0.235 3.488 0.062
致密腺体型 153(53.5) 115(60.0) 109(61.2) 159(52.5)
非致密腺体型 133(46.5) 80(40.0) 69(38.8) 144(47.5)
肿块大小[例(%)] 7.084 0.008 0.019 0.892
≤2 cm 73(25.5) 30(15.4) 39(21.9) 65(21.5)
>2 cm 213(74.5) 165(84.6) 139(78.1) 239(78.5)
肿块边缘[例(%)] 79.840 <0.001 29.152 <0.001
有毛刺 184(64.3) 45(23.1) 56(31.5) 173(57.1)
无毛刺 102(35.7) 151(76.9) 122(68.5) 131(42.9)
肿块密度[例(%)] 2.398 0.121 19.145 <0.001
等密度 68(23.8) 59(30.3) 67(37.6) 59(19.5)
高密度 218(76.2) 137(69.7) 111(62.4) 244(80.5)
细线样及分支样钙化[例(%)] 39.283 <0.001 159.202 <0.001
51(17.8) 86(44.1) 111(62.4) 26(8.6)
235(82.2) 109(55.9) 67(37.6) 277(91.4)
钙化分布[例(%)] 26.722 <0.001 167.060 <0.001
沿导管分布 37(12.9) 63(32.3) 92(51.7) 8(2.7)
集群分布 117(40.9) 58(29.7) 48(27.0) 127(41.9)
其它 132(46.2) 74(38.0) 38(21.3) 168(55.4)
钙化范围[例(%)] 18.348 <0.001 135.751 <0.001
≤2 cm 203(71.0) 101(51.8) 53(29.8) 251(82.8)
>2 cm 83(29.0) 94(48.2) 125(70.2) 52(17.2)
皮肤、乳头改变[例(%)] 0.814 0.367 2.381 0.123
59(20.6) 47(24.1) 46(25.8) 60(19.8)
227(79.4) 148(75.9) 132(74.2) 243(80.2)
BI-RADS[例(%)] 3.625 0.163 2.463 0.292
4B 29(10.1) 26(13.3) 18(10.1) 37(12.2)
4C 143(50.0) 107(54.9) 87(48.9) 163(53.8)
5类 114(39.9) 62(31.8) 73(41.0) 103(34.0)
腋下淋巴结[例(%)] 1.416 0.234 2.495 0.114
阳性 136(47.6) 82(42.1) 89(50.0) 129(42.6)
阴性 150(52.4) 113(57.9) 89(50.0) 174(57.4)
表3 训练组乳腺癌HR阳性影响因素的多因素Logistic回归分析
表4 训练组乳腺癌HER2阳性影响因素的多因素Logistic回归分析
图1 列线图预测模型。图a为HR列线图预测模型;图b为HER2列线图预测模型
图2 HR预测模型的ROC曲线和校准曲线。图a为训练组ROC曲线;图b为验证组ROC曲线;图c为训练组校准曲线;图d为验证组校准曲线 注:HR为激素受体;ER为雌激素受体;PR为孕激素受体
图3 HER2预测模型的ROC曲线和校准曲线。图a为训练组ROC曲线;图b为验证组ROC曲线;图c为训练组校准曲线;图d为验证组校准曲线 注:HER2为人表皮生长因子受体2
图4 HR和HER2预测模型的临床决策曲线。图a为HR模型训练组的决策曲线;图b为HR模型验证组的决策曲线;图c为HER2模型训练组的决策曲线;图d为HER2模型验证组的决策曲线 注:HR为激素受体;HER2为人表皮生长因子受体2
图5 乳腺HR阳性、HER2阴性病灶经X线联合列线图模型的预测及验证。图a为左乳头尾位;图b为左乳内外侧斜位;图c为肿块局部放大图;图d及e为HR和HER2联合预测模型预测此病灶HR阳性的可能性为80%,HER2阳性的可能性几乎为0
图6 乳腺HR阴性、HER2阳性病灶经X线联合列线图模型的预测及验证。图a为左乳头尾位;图b为左乳内外侧斜位;图c为病灶局部放大图;图d及e为HR和HER2联合预测模型预测此病灶HR阳性的可能<30%,HER2阳性的可能>90%
图7 乳腺HR阳性、HER2阳性病灶经X线联合列线图模型的预测及验证。图a为右乳头尾位;图b为右乳内外侧斜位;图c为病灶局部放大图;图d及e为HR和HER2联合预测模型预测此病灶HR阳性可能性约62%,HER2阳性可能性>90%
1
Gradishar WJ, Anderson BO, Abraham J, et al. Breast cancer, version 3.2020, NCCN clinical practice guidelines in oncology [J]. J Natl Compr Canc Netw, 2020, 18(4): 452-478.
2
Kim SY, Cho N, Choi Y, et al. Factors affecting pathologic complete response following neoadjuvant chemotherapy in breast cancer: development and validation of a predictive nomogram [J]. Radiology, 2021, 299(2): 290-300.
3
邵志敏, 吴炅, 江泽飞, 等. 中国乳腺癌新辅助治疗专家共识(2022年版) [J]. 中国癌症杂志, 2022, 32(1): 80-89.
4
王贝, 刘锋. 乳腺癌新辅助内分泌治疗与靶向治疗联合应用研究进展 [J]. 现代肿瘤医学, 2022, 30(21): 3996-4000.
5
刑君, 马利军, 严峥峥, 等. 乳腺癌X线检查征象与分子亚型的相关性研究 [J]. 中华实验外科杂志, 2021, 38(10): 1997-2002.
6
Yala A, Mikhael PG, Lehman C, et al. Optimizing risk-based breast cancer screening policies with reinforcement learning [J]. Nat Med, 2022, 28(1): 136-143.
7
Jiang L, Ma T. Manmmographic features are ssociated with clinico-pathological characteristics in invasive breast cancer [J]. Anticancer Res, 2011, 31(6): 2327- 2334.
8
尹冰心, 崔凤, 晁红艳. 基于数字乳腺三维断层摄影的乳腺癌分子病理分型预测价值 [J]. 中国临床医学影像杂志, 2020, 31(11): 793-796.
9
Yaghjyan L, Colditz GA, Collins LC, et al. Mammographic breast density and subsequent risk of breast cancer in postmenopausal women according to tumor characteristics [J]. J Natl Cancer Inst, 2011, 103(15): 1179-1189.
10
王阳, 屈翔, 葛智成, 等. 绝经后浸润性乳腺癌患者的乳腺密度与病理学指标及分子分型的关系 [J]. 癌症进展, 2019, 17(19): 2302-2304.
11
胡从依, 马文娟, 柳杰, 等. 乳腺密度与年龄、乳腺癌分子分型的相关性分析 [J]. 中华医学杂志, 2019, 99(1): 49-51.
12
赵晶, 吴楠, 张世超, 等. 乳腺癌靶向治疗新进展 [J]. 中华肿瘤杂志, 2020, 42(5): 353-361.
13
胡仰玲, 曾辉, 何子龙, 等. 钙化型乳腺癌的分子分型特点及其预后分析 [J]. 实用医学杂志, 2020, 36(10): 1354-1359.
14
何莹, 王敏芳, 郑莎莎. 乳腺癌微钙化与HER-2、ER、PR、Ki67的相关性分析 [J]. 中国超声医学杂志, 2022, 38(6): 633-636.
15
Li E, Guida JL,Tian Y, et al. Associations between mammographic density and tumor characteristics in Chinese women with breast cancer [J]. Breast Cancer Res Treat, 2019, 177(2): 527-536.
16
赵阳, 肖迎聪, 巨艳, 等. 基于自动乳腺超声的列线图模型早期预测HER-2阳性乳腺癌新辅助化疗病理完全缓解的临床价值 [J/OL]. 中华临床医师杂志(电子版), 2024, 18(4): 355-362.
17
Wang C, Bai C, Zhang Z, et al. UGT1A7 altered HER2-positive breast cancer response to trastuzumab by affecting epithelial-to-mesenchymal transition: A potential biomarker to identify patients resistant to trastuzumab treatment [J]. Cancer Gene Ther, 2024, 31(10): 1525-1535.
18
《免疫组织化学在乳腺病理中的应用共识(2022版)》编写组. 免疫组织化学在乳腺病理中的应用共识(2022版) [J]. 中华病理学杂志, 2022, 51(9): 803-811.
19
Hausser J, Alon U. Tumour heterogeneity and the evolutionary trade-offs of cancer [J]. Nat Rev Cancer, 2020, 20(4): 247-257.
20
Li S, Wu J, Huang O, et al. Association of molecular biomarker heterogeneity with treatment pattern and disease outcomes in multifocal or multicentric breast cancer [J]. Front Oncol, 2022, 12: 833093.
[1] 潘辰蕊, 杨冰洁, 沈会明, 王颖彦, 韩佳豪, 李嘉. 多模态超声联合免疫炎症指标预测乳腺癌腋窝淋巴结转移的价值[J/OL]. 中华医学超声杂志(电子版), 2025, 22(10): 969-975.
[2] 杨晶, 高洁, 李淑琴, 夏铀铀. 同时性双侧乳腺癌一例[J/OL]. 中华乳腺病杂志(电子版), 2025, 19(06): 377-380.
[3] 陈庆秋, 钟玲, 张婷, 张孔涌, 桂余, 齐晓伟, 任林. IGF2BP2/CCNB2轴促进三阴性乳腺癌进展的机制研究[J/OL]. 中华乳腺病杂志(电子版), 2025, 19(05): 287-295.
[4] 王帆, 袁鹏, 弓一心, 张世杰, 张国豪, 焦强. 髋关节局部解剖形态与髋关节骨关节炎的关系研究进展[J/OL]. 中华关节外科杂志(电子版), 2025, 19(05): 609-614.
[5] 徐世伟, 廖杜荣, 张镐, 叶辉, 陈志平, 雒洪志. 基于一种新炎症-营养指标构建结直肠癌术前淋巴结转移预测模型[J/OL]. 中华普通外科学文献(电子版), 2025, 19(06): 383-389.
[6] 腾鹏, 田景昌, 鄂春翔, 向阳, 田伯宇. 肌层浸润性膀胱癌患者根治性膀胱切除术预后列线图模型的构建及验证[J/OL]. 中华腔镜泌尿外科杂志(电子版), 2025, 19(05): 645-652.
[7] 郑小龙, 李挺, 隋永健, 徐辉. 疝囊进入阴囊的腹股沟直疝CT表现[J/OL]. 中华疝和腹壁外科杂志(电子版), 2025, 19(05): 559-562.
[8] 毛东锋, 姚琳, 吴涛, 刘文慧. 乳腺癌术后合并NUP98-HOXA9基因阳性急性髓系白血病1例临床报告[J/OL]. 中华细胞与干细胞杂志(电子版), 2025, 15(05): 290-292.
[9] 黄少坚, 梁汉标, 李清平, 唐善华, 李青妍, 李芷西, 黄灿, 王小振, 陈灿辉, 王恺, 李川江. 基于影像组学和临床特征构建肝癌新辅助/转化治疗后病理学完全缓解预测模型[J/OL]. 中华肝脏外科手术学电子杂志, 2025, 14(06): 860-867.
[10] 赵俊宇, 林航宇, 李会灵, 王显飞, 游川. 肝癌肝切除术后大量腹水预测模型的建立与验证[J/OL]. 中华肝脏外科手术学电子杂志, 2025, 14(05): 740-747.
[11] 刘燕, 马亦旻. 消化道早癌患者内镜黏膜下剥离术后局部复发预测模型构建与验证[J/OL]. 中华消化病与影像杂志(电子版), 2025, 15(06): 576-582.
[12] 胡斌, 柳林. 食管癌新辅助治疗后CT影像特征变化与术后病理完全缓解率的相关性研究[J/OL]. 中华消化病与影像杂志(电子版), 2025, 15(06): 627-634.
[13] 王超, 张晓会, 李晓帆, 赵海丹. 维持性血液透析患者感染与心脑血管死亡风险的比较及联合预测模型构建[J/OL]. 中华临床医师杂志(电子版), 2025, 19(09): 675-681.
[14] 于少华, 苏飞, 芦永斌, 袁芳芸, 阚晓燕, 张涛, 侯小明. 基于血清电解质水平构建列线图模型对广泛期小细胞肺癌患者的预测价值[J/OL]. 中华临床医师杂志(电子版), 2025, 19(08): 574-581.
[15] 皇立媛, 浦洁, 王苏贵, 陈婷婷, 朱德慧, 胡雪. 中青年脑卒中患者应激障碍风险预测模型的构建与验证[J/OL]. 中华临床医师杂志(电子版), 2025, 19(07): 504-512.
阅读次数
全文


摘要


AI


AI小编
你好!我是《中华医学电子期刊资源库》AI小编,有什么可以帮您的吗?